• Предмет: Алгебра
  • Автор: ItipediaGay
  • Вопрос задан 8 лет назад

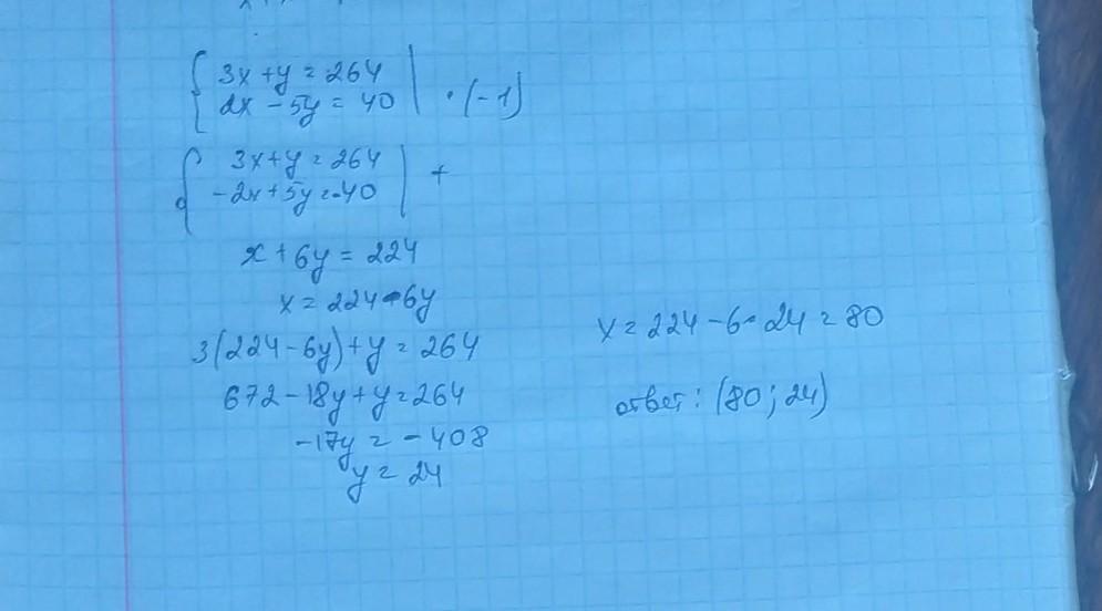
{ 3x+y=264 2x-5y=40 решить систему уравнений методом сложения​

Ответы

Ответ дал: kruglenkonata804
0

решение на фотографии

Приложения:
Вас заинтересует