• Предмет: Математика
  • Автор: fil263
  • Вопрос задан 8 лет назад

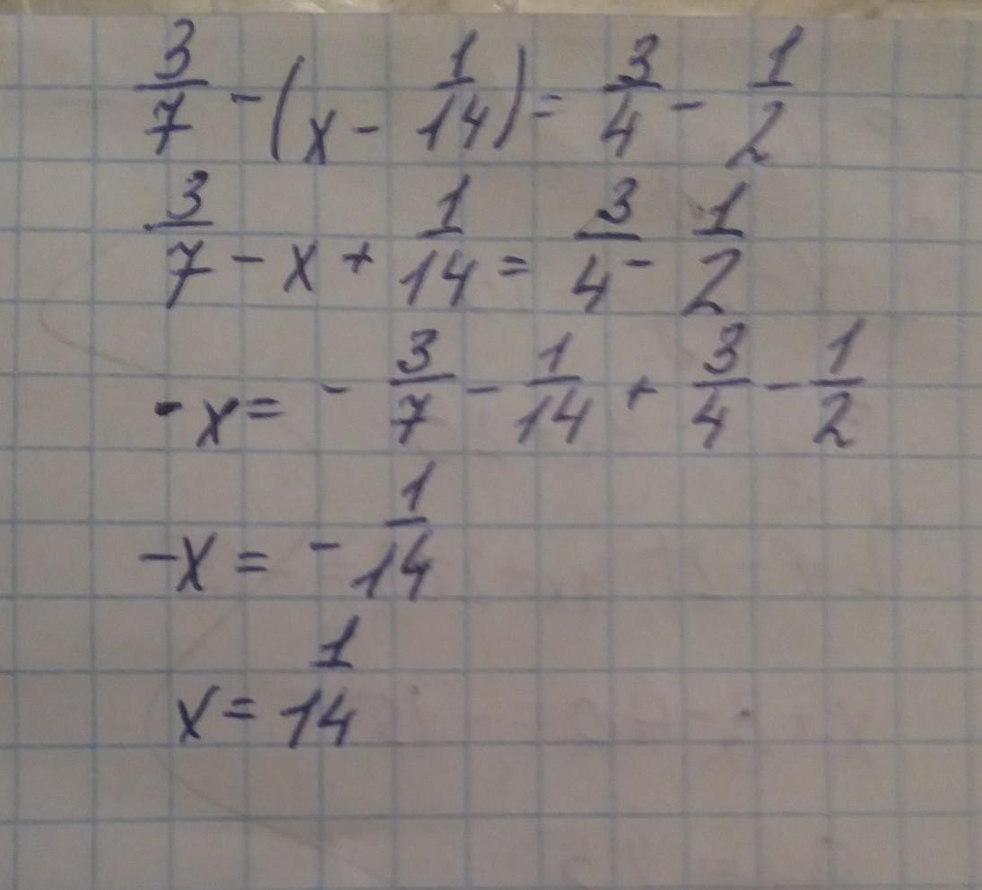
3/7-(x-1/14)=3/4-1/2​

Ответы

Ответ дал: fgsjv
0

Выберм ответ лучшим буду радв

Приложения:
Вас заинтересует