• Предмет: Математика
  • Автор: Lika48910
  • Вопрос задан 8 лет назад

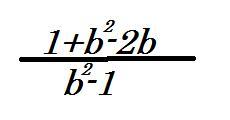
СОКРАТИТЕЕЕЕЕЕЕЕЕЕЕЕЕЕ

Приложения:

Ответы

Ответ дал: panterasq
0

Ответ:

Пошаговое объяснение:

frac{1+b^{2}-2b }{b^{2}-1} \frac{(b-1)^{2} }{(b-1)(b+1)} \frac{b-1}{b+1}

Вас заинтересует