• Предмет: Математика
  • Автор: valerkanumber1
  • Вопрос задан 8 лет назад

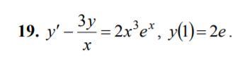
Дифференциальные уравнения
Решить задачу Коши

Приложения:

Ответы

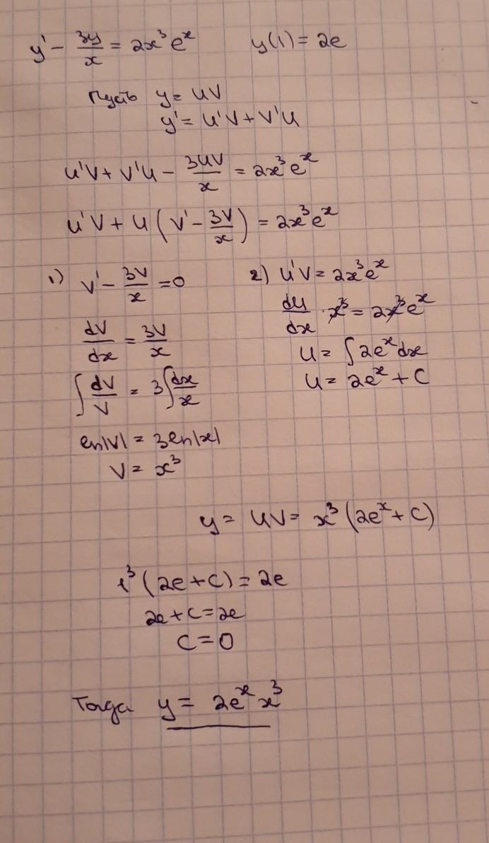
Ответ дал: Miroslava227
0

решение на фотографии

Приложения:
Вас заинтересует