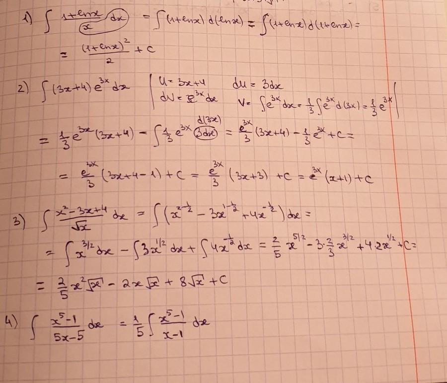
1.∫((1+㏑x)/x)*dx
2.∫(3x+4)e^(3x)*dx
3.∫(x^2-3x+4/√x)*dx
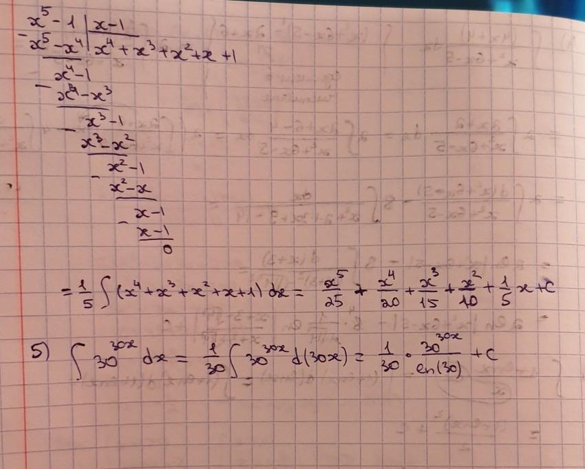
4.∫(x^5-1/5x-5)dx
5.∫30^(30x) dx
Помогите с решением
Ответы
Ответ дал:
0
решение на фотографиях
Приложения:


Вас заинтересует
2 года назад
3 года назад
3 года назад
8 лет назад
8 лет назад