• Предмет: Алгебра
  • Автор: RoCKeT777
  • Вопрос задан 8 лет назад

помогите пожалуйста, с меня 15 баллов.​

Приложения:

Ответы

Ответ дал: Universalka
0

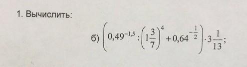
(0,49^{-1,5}:(1frac{3}{7})^{4}+0,64^{-frac{1}{2} })*3frac{1}{13}=(((frac{7}{10})^{2} )^{-1,5}:(frac{10}{7})^{4}+((0,64)^{frac{1}{2}})^{-1}})*3frac{1}{13}=((frac{7}{10})^{-3}*(frac{7}{10})^{4}+frac{10}{8})*3frac{1}{13} =(frac{7}{10}+frac{5}{4})*frac{40}{13}=frac{14+25}{20}*frac{40}{13}=frac{39}{20}*frac{40}{13}=6

Вас заинтересует