100 БАЛЛОВ, СРОЧНО!
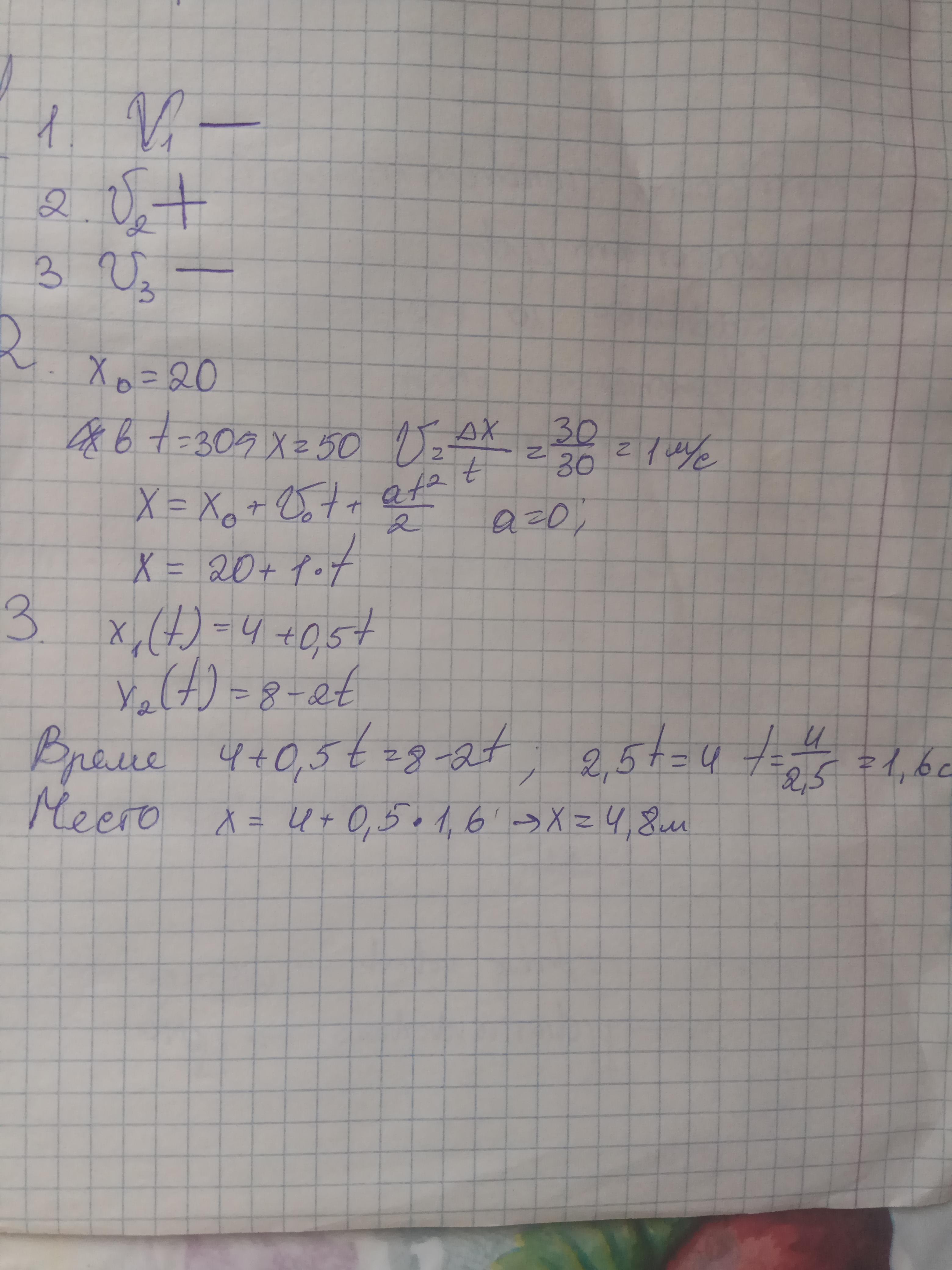
1. Определить знаки проекций векторов.
(первое изображение)
2. По графику движения тела определите: начальную координату, проекцию скорости, составьте уравнение движения x(t).
(второе изображение)
3. Уравнения движения двух тел имеют вид:
. Найти время и место встречи.
(если формула отображается некорректно, то вот "х1(t)= 4 + 0,5t, х2(t)= 8 - 2t")
Приложения:


Ответы
Ответ дал:
0
Ответ:
Думаю, что на фото будет все понятно.
Объяснение:
Приложения:

Ответ дал:
0
Спасибо! А можешь еще с одним заданием помочь? Забыл его в вопрос добавить
Вас заинтересует
2 года назад
2 года назад
3 года назад
8 лет назад
8 лет назад
9 лет назад