Ответы
                                            Ответ дал: 
                                                                                    
                                        
                                            
                                                
                                                
                                                
                                                    0
                                                
                                            
                                        
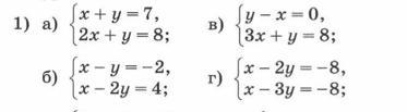
                                    В)Из первого выражения:
y=0+x
y=x
3x+x=8
4x=8
x=2
(2;2)
Г)Решаю методом вычитания:
x-2y-x+3y=0
y=0
x=-8
(-8;0)
Вас заинтересует
                
                        2 года назад
                    
                
                        3 года назад
                    
                
                        3 года назад
                    
                
                        8 лет назад
                    
                
                        8 лет назад
                    
                
                        9 лет назад
                    
                