40 баллов.
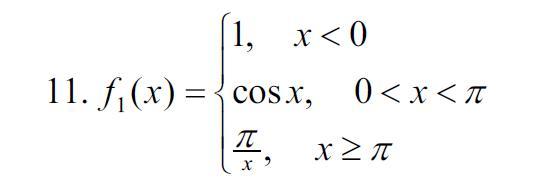
Исследуйте функцию на непрерывность, найдите точки разрыва,
определите их характер и постройте график функции.
Приложения:

Ответы
Ответ дал:
0
тллшллсдпщпщпжпжидрддрджржржиижимжжпжпжмзмжмжпжижржижижржтжи
Вас заинтересует
2 года назад
3 года назад
3 года назад
8 лет назад
9 лет назад