Ответы
Ответ дал:
0
Ответ:
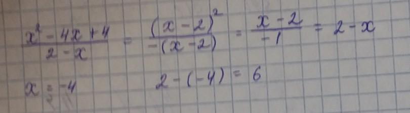
x^2-4x+4 / 2-x=(2-x)^2 / 2-x=2-x. подставляем значение: 2-(-4)=2+4=6. Ответ: 6.
Объяснение:
Ответ дал:
0
смотри решение на фото
Приложения:

Вас заинтересует
2 года назад
3 года назад
3 года назад
8 лет назад
8 лет назад
9 лет назад
9 лет назад