Ответы
Ответ дал:
0
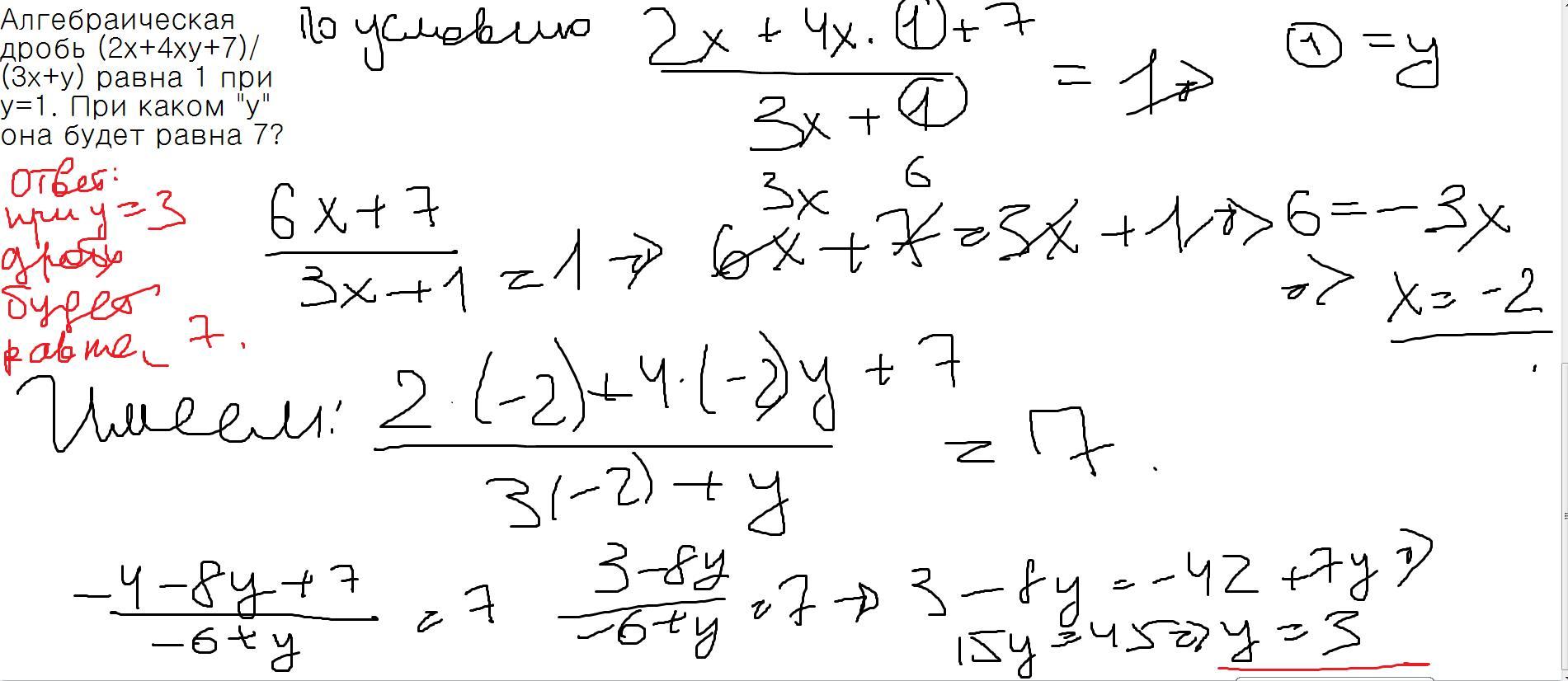
Ответ: при y =3 дробь будет равна 7.
Решение во вложении.
Приложения:

Вас заинтересует
2 года назад
3 года назад
3 года назад
8 лет назад
8 лет назад
9 лет назад