• Предмет: Математика
  • Автор: goblin1508
  • Вопрос задан 8 лет назад

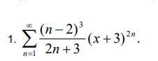
Найти область сходимости ряда

Приложения:

Ответы

Ответ дал: HSS9860
0

Посмотрите предложенное решение.

Приложения:
Вас заинтересует