Ответы
Ответ дал:
0
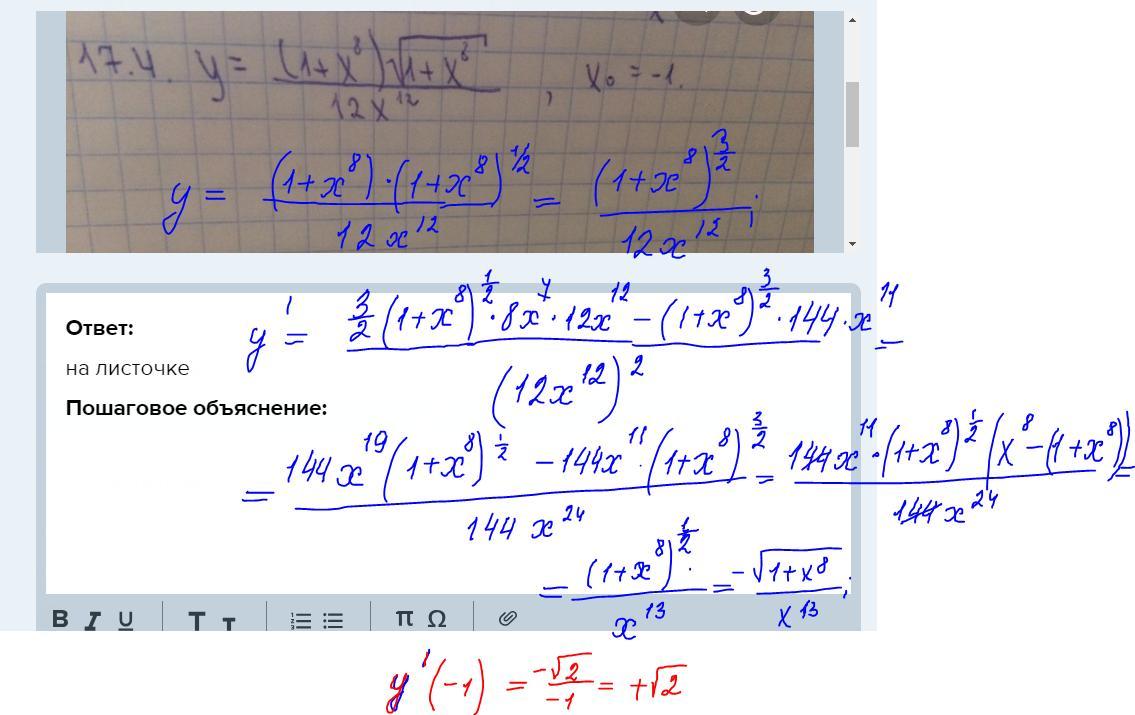
Ответ:
на листочке
Пошаговое объяснение:
Приложения:

Ответ дал:
0
здравствуйте можете помочь с вопросом
Ответ дал:
0
С обьяснением!!!!!!!
https://znanija.com/task/32567018?utm_source=android&utm_medium=share&utm_campaign=question
https://znanija.com/task/32567018?utm_source=android&utm_medium=share&utm_campaign=question
Вас заинтересует
2 года назад
3 года назад
3 года назад
8 лет назад
8 лет назад
9 лет назад