• Предмет: Алгебра
  • Автор: Purzil
  • Вопрос задан 8 лет назад

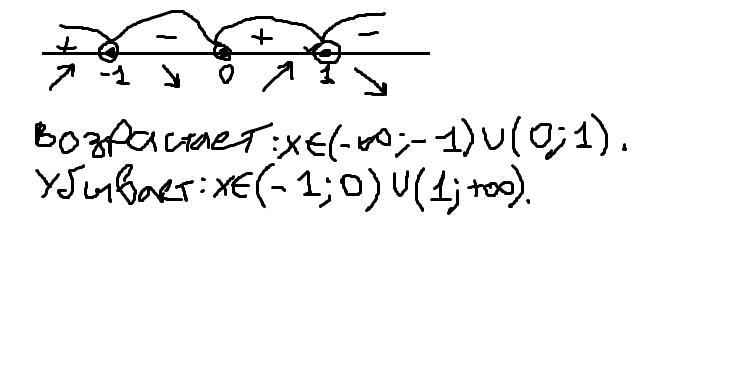
f(x)=2x^2-x^4+3 Исследуйте на возрастание и экстремумы данную функцию.Помогите пожалуйста!

Ответы

Ответ дал: solving05
0

Ответ:

Объяснение:

Находим производную и приравниваем к нулю.

f'(x)=4x-4x^3=4x(1-x^2)=4x(1-x)(1+x);\f'(x)=0;4x(1-x)(1+x)=0;

Корни x1=-1; x2=0; x3=1, это и есть экстремумы.

Далее рисунок

Приложения:
Вас заинтересует