СРОЧНО Составить блок схему и программу для вычисления значения функции y ( 50 баллов)
Приложения:
Ответы
Ответ дал:
0
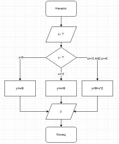
Если преподаватель допускает тройные условия, то вот пожалуйста. Если можно только двойные условия, то надо переделывать.
Приложения:
Вас заинтересует
2 года назад
3 года назад
3 года назад
9 лет назад
9 лет назад
10 лет назад