Ответы
Ответ дал:
0
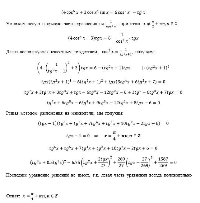
Ответ: π/4 + πn, n ∈ Z
Объяснение:
Приложения:

Ответ дал:
0
Жаль что не свелось к чему-то простенькому: многочлен высокой степени. Не люблю, когда нули многочлена через подбор ищутся, спасибо за понятно решение
Ответ дал:
0
Хочу увидеть простенькое решение если у кого-то будет. Интересно поучиться будет
Вас заинтересует
2 года назад
3 года назад
8 лет назад
9 лет назад