• Предмет: Алгебра
  • Автор: oleinickovaolenka
  • Вопрос задан 8 лет назад

Помогите решить
Пожалуйста

Приложения:

Ответы

Ответ дал: takushnir
0

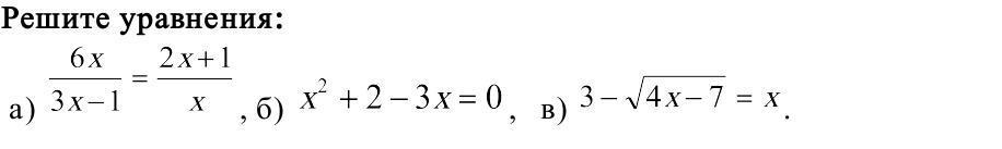
а) ОДЗ уравнения х≠0; х≠1/3; приведем к общему знаменателю.

6х²=6х²+3х-2х-1; х= 1 - входит в ОДЗ,

Ответ 1

б) х²-3х+2=0; По теореме, обратной теореме Виета х=1; х=2

Ответ 1;2

в)перепишем так √(4х-7)=3-х; Возведем в квадрат. Получим

4х-7=х²-6х+9; х²-10х+16=0. ПО теореме, обратной теореме Виета корнями этого уравнения будут 2 и 8, их надо проверить, т.к. в результате возведения в квадрат могли появиться посторонние корни.

х=8; 3-√(4*8-7)=8; 3-5=8 - неверно, х=8 - лишний корень.

х=2; 3-√(2*4-7)=2;2=2- верно. х=2 корень исходного уравнения.

Ответ 2

Ответ дал: lolpika2004
0
У тебя ошибка
Ответ дал: takushnir
0
Интересно. КАКАЯ?
Ответ дал: lolpika2004
0
Не важно.
Ответ дал: takushnir
0
Важно, поскольку за свои слова надо отвечать.)
Вас заинтересует