• Предмет: Математика
  • Автор: Рэйнбоу2002Деш
  • Вопрос задан 8 лет назад

Вычислить интеграл заранее спасибо

Приложения:

Ответы

Ответ дал: zzhash
0

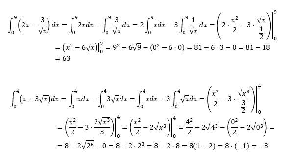
"Детские" интегралы в приложенном файле.

Приложения:
Вас заинтересует