Ответы
Ответ дал:
0
Ответ:
Пошаговое объяснение:
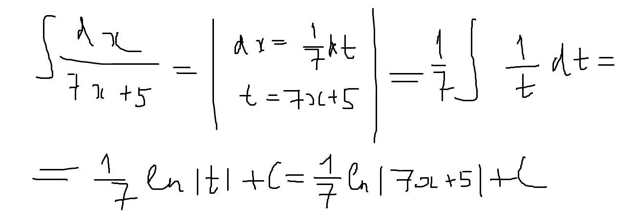
вот
Приложения:

Вас заинтересует
2 года назад
2 года назад
3 года назад
8 лет назад
8 лет назад