Ответы
Ответ дал:
0
Ответ:
D)
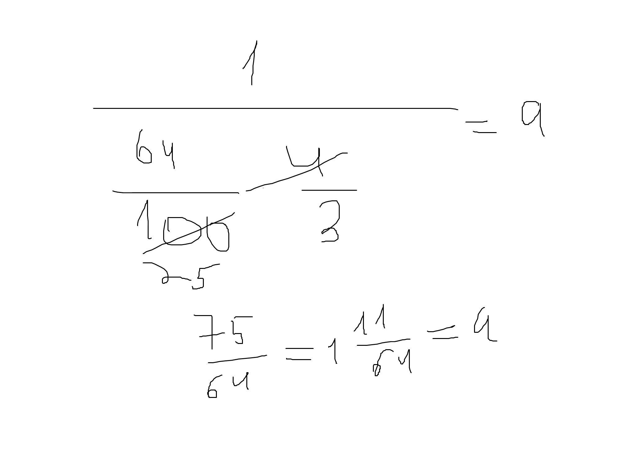
Пошаговое объяснение:
вот
Приложения:

Ответ дал:
0
Спасибо огромное!
Вас заинтересует
2 года назад
2 года назад
3 года назад
8 лет назад
8 лет назад
9 лет назад