• Предмет: Алгебра
  • Автор: DanilZemlynkin
  • Вопрос задан 8 лет назад

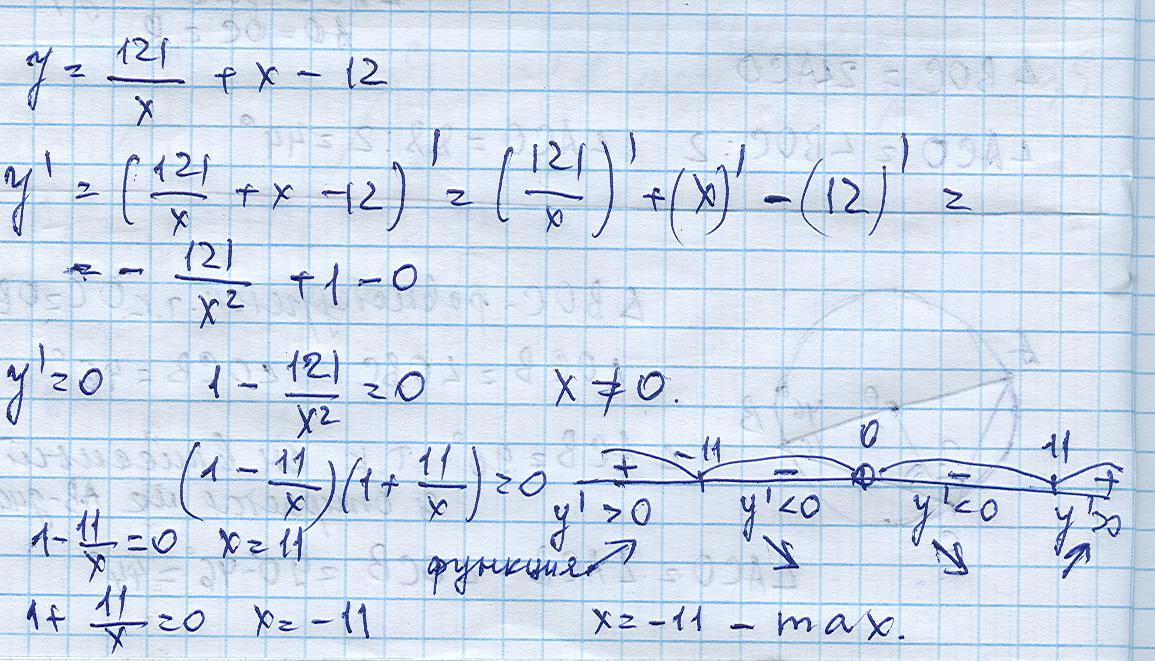
Найдите точку максиума функции

Приложения:

Ответы

Ответ дал: Vas61
0

Ответ:

x=-11

Объяснение:

решение ниже

Приложения:
Ответ дал: takushnir
0

Производная равна( -121/х²)+1

Найдем критические точки. ((х²-121)/х²)=0;х=±11

нулем и критическими точками х=±11  разобьем область определения

и выясним с помощью метода интервалов знаки производной.

____-11______0____11____

+                -           -          +   Точка максимума х=-11  , т.к. при переходе через нее производная меняет знак с плюса на минус  

Приложения:
Вас заинтересует