• Предмет: Математика
  • Автор: Assassin228
  • Вопрос задан 8 лет назад

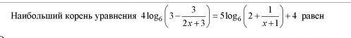
Пожалуйста, решите с пояснениями (для человека, весьма слабо разбирающегося в логарифмах)

Приложения:

Ответы

Ответ дал: nafanya2014
0

ОДЗ:

left { {{3-frac{3}{2x+3}>0 } atop {2+frac{1}{x+1}>0 }} right. \ \ left { {{frac{6x+9-3}{2x+3}>0 } atop {frac{2x+2+1}{x+1}>0 }} right. \ \ left { {{frac{6(x+1)}{2x+3}>0 } atop {frac{2x+3}{x+1}>0 }} right.

Метод интервалов:

__+__ (-3/2) ___ (-1) __+___

x∈(-∞;-3/2) U (-1;+∞)

Свойства логарифма.

Логарифм степени

n·log_(6)b=log_(6)bⁿ

b>0

Логарифм произведения

log_(6) a + log_(6)b=log_(6)a·b

a>0; b>0

Уравнение принимает вид:

log₆(6(x+1)/(2x+3))⁴=log₆((2x+3)/(x+1))⁵·6⁴

Логарифмы равны, значит и выражения под логарифмами равны.

(6(x+1)/(2x+3))⁴=((2x+3)/(x+1))⁵·6⁴

Сокращаем на 6⁴

(х+1)⁴/(2х+3)⁴=(2х+3)⁵/(х+1)⁵

((x+1)/(2x+3))⁹=1

(x+1)/(2x+3)=1

x+1=2x+3

x=-2∈(-∞;-3/2) U (-1;+∞)

О т в е т. -2

Ответ дал: Assassin228
0
Большое спасибо!
Ответ дал: Assassin228
0
Добрый день! Вчера не было возможности разобраться в этом, но сегодня она появилась, а у меня появился вопрос. Не могу понять, откуда взялась 6 в степени 4, если изначально была просто 4?
Ответ дал: nafanya2014
0
4=4*1=4*log(6)6=log(6)6^4
Ответ дал: Assassin228
0
О, теперь дошло, огромное спасибо)
Вас заинтересует