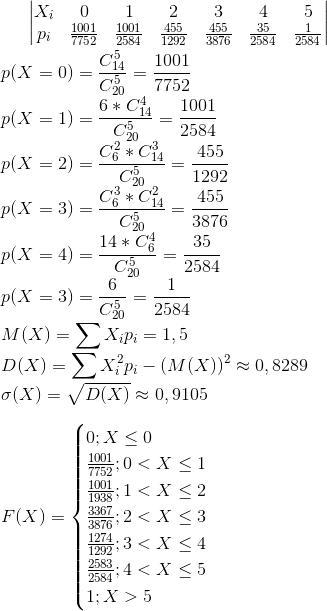
На 20 приборов имеется в среднем 6 неточных.Составить закон распределения числа точных приборов среди наудачу отобранных 5 приборов.Построить многоугольник расределения найти числовые характеристики, функцию распределения и построить ее график
Ответы
Ответ дал:
0
Решение в приложении:
Графики сами нарисуйте. Несложно.
Приложения:

Вас заинтересует
2 года назад
3 года назад
3 года назад
8 лет назад
9 лет назад
9 лет назад