Ответы
Ответ дал:
0
Ответ:
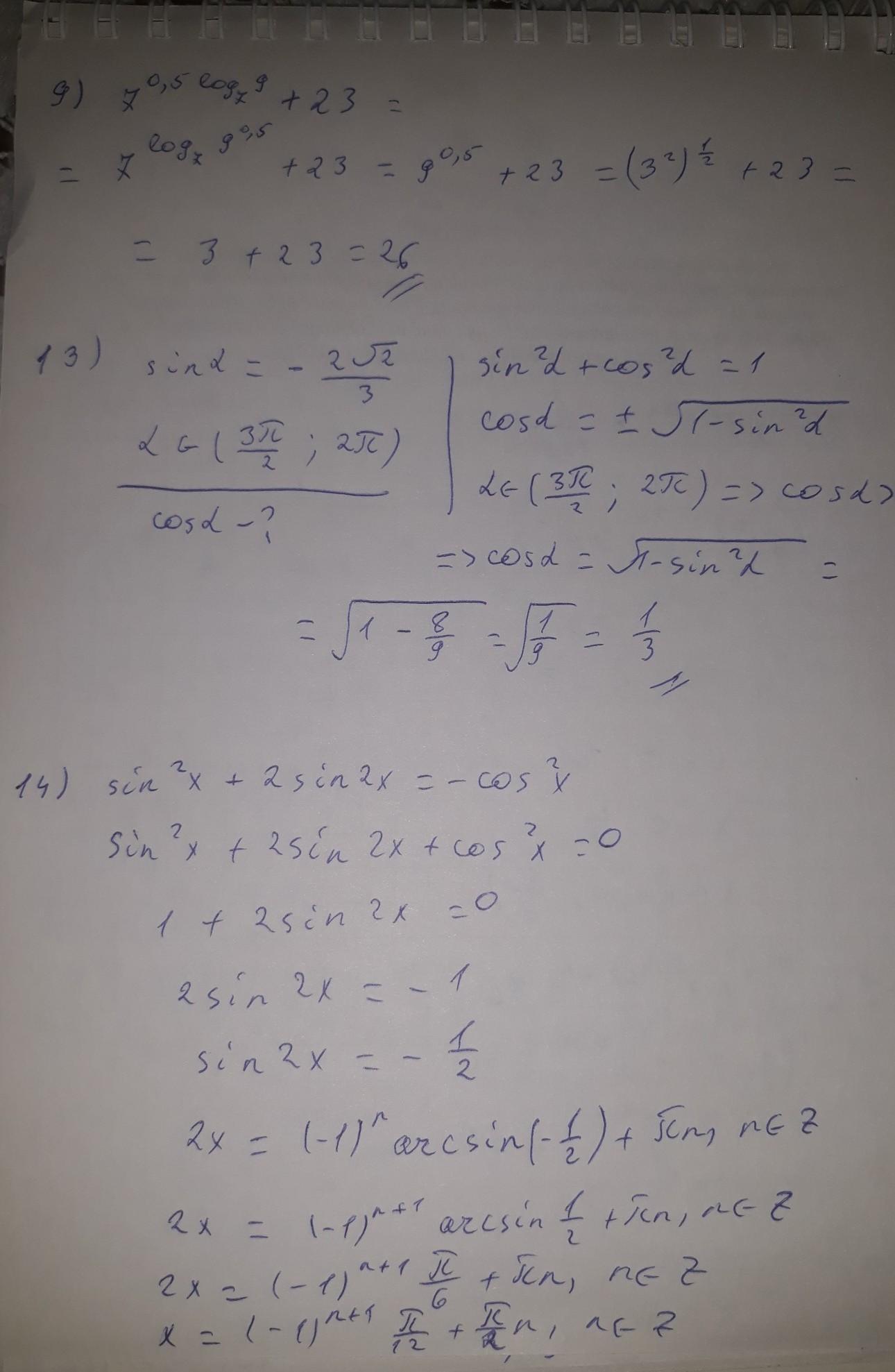
продолжение напишу потом добавлю
Приложения:





Вас заинтересует
2 года назад
3 года назад
8 лет назад
8 лет назад
9 лет назад