Ответы
Ответ дал:
0
Решение в приложении
Приложения:

Ответ дал:
0
а можно поподробнее? я точно знаю тут должен быть график еще. буду очень благодарен
Ответ дал:
0
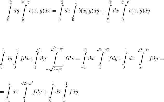
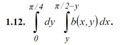
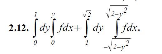
Там несложно. Рисуете графики исходных графиков, из функций x(y) делаете y(x) и смотрите новые пределы
Ответ дал:
0
исходных функций*
Вас заинтересует
2 года назад
3 года назад
3 года назад
8 лет назад
8 лет назад
9 лет назад