• Предмет: Алгебра
  • Автор: Vika08218
  • Вопрос задан 8 лет назад

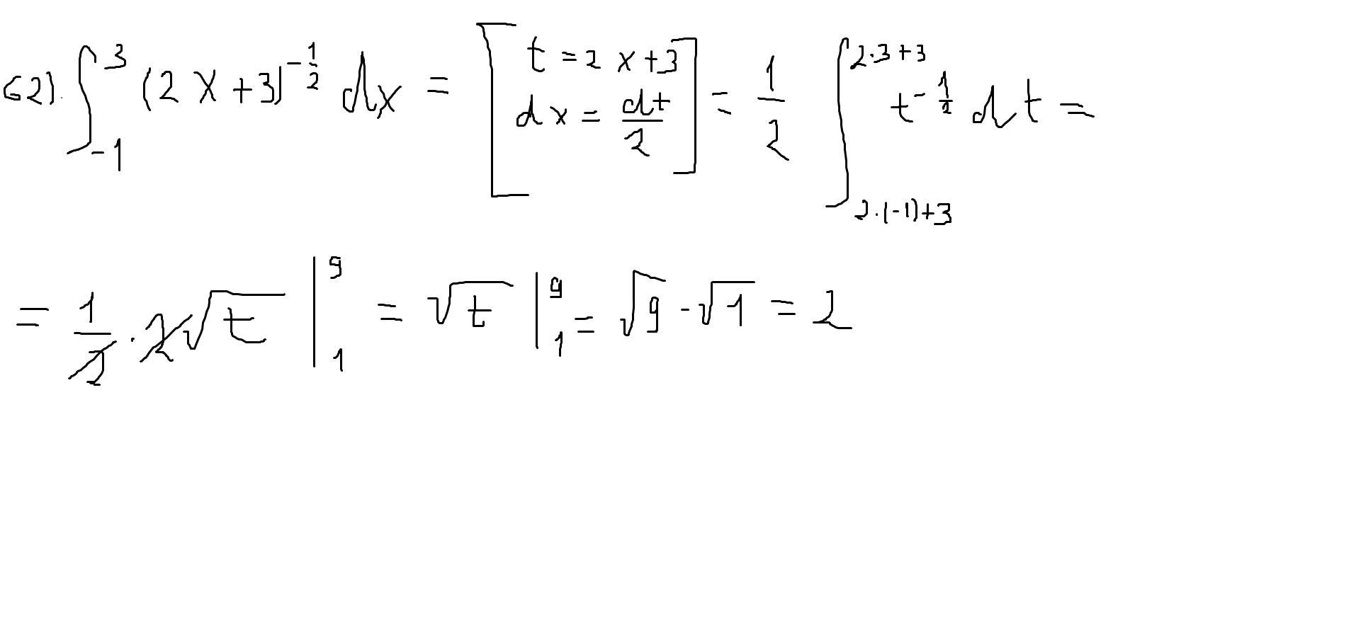
Помогите решит номер 62 там надо найти интеграл пожалуйста нужно сейчас,если можно напиши на листике пожалуйста

Приложения:

Ответы

Ответ дал: GamaFunction
0

Відповідь:

2

Пояснення:

Приложения:
Вас заинтересует