Решить тригонометрические уравнения:
1) 4sin^2(2x)-5sin(2x)cos(2x)-6cos^2(2x)=0
2) 3sin^2(3x)-7sin(3x)cos(3x)+2cos^2(3x)=0
3) 2sin^2(2x)+3sin(2x)cos(2x)-2cos^2(2x)=0
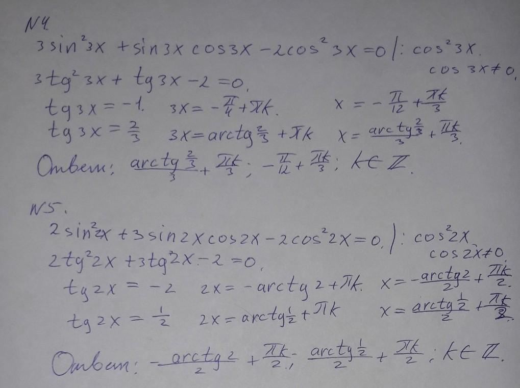
4) 3sin^2(3x)+sin(3x)cos(3x)-2cos^2(3x)=0
5) 2sin^2(2x)+3sin(2x)cos(2x)-2cos^2(2x)=0
Помогите, пожалуйста!
Ответы
Ответ дал:
0
===========================================
Приложения:


Ответ дал:
0
Большое спасибо!
Ответ дал:
0
Не за что!
Вас заинтересует
2 года назад
2 года назад
3 года назад
8 лет назад
8 лет назад
9 лет назад