Помогите решить первые два задания, напишите пожалуйста от руки или через приложение, не нужно писать сплошные цифры в ответ
Приложения:

Ответы
Ответ дал:
0
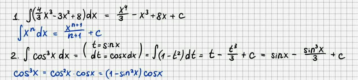
Решение во вложении.
Приложения:

Ответ дал:
0
помогите пожалуйста с последним вопросом по русскому
Вас заинтересует
2 года назад
2 года назад
3 года назад
8 лет назад
8 лет назад
9 лет назад