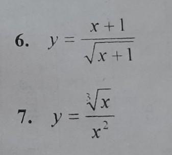
Помогите, поюалуйста, срочно! Найдите производные используя формулы дифференцирования.
Приложения:

Ответы
Ответ дал:
0
Пошаговое объяснение:
ответ на фотографии.....
Приложения:

Ответ дал:
0
Нет. Увы, это не то...
Вас заинтересует
2 года назад
3 года назад
8 лет назад
8 лет назад
9 лет назад