Ответы
Ответ дал:
0
Ответ:
Пошаговое объяснение:
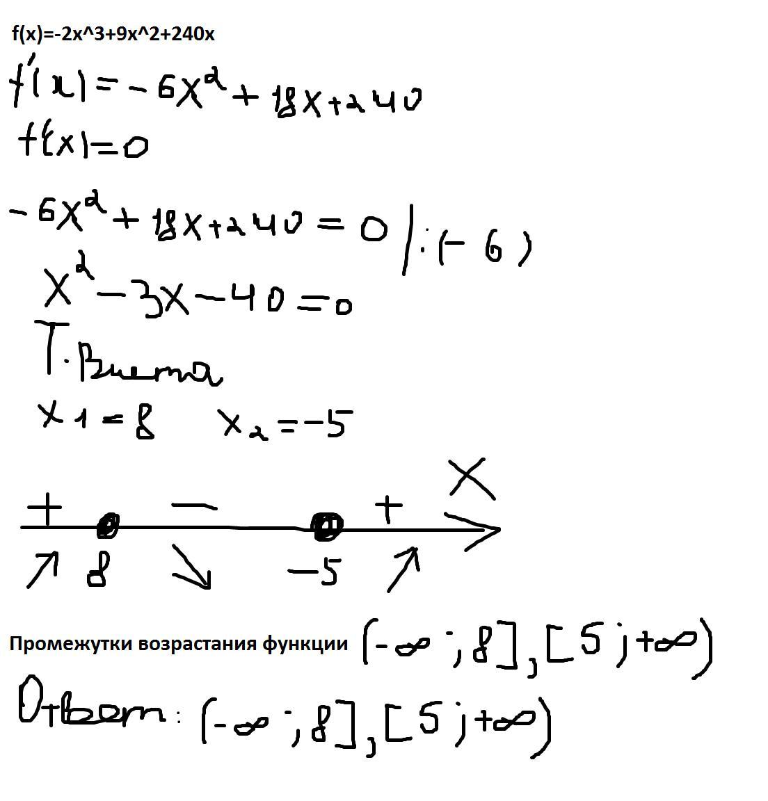
ВОТ
Приложения:

Ответ дал:
0
Спасибо)))
Вас заинтересует
2 года назад
3 года назад
3 года назад
8 лет назад