Ответы
                                            Ответ дал: 
                                                                                    
                                        
                                            
                                                
                                                
                                                
                                                    0
                                                
                                            
                                        
                                    Ответ:
Объяснение:
ВОТ
Приложения:
                     
                            
                                            Ответ дал: 
                                                                                    
                                        
                                            
                                                
                                                
                                                
                                                    0
                                                
                                            
                                        
                                    
                                        Извините, мышка прыгнула, хотела 5 звезд. Очень Вам благодарна
                                    
                                        
                                        
                                
                                            Ответ дал: 
                                                                                    
                                        
                                            
                                                
                                                
                                                
                                                    0
                                                
                                            
                                        
                                    Объяснение:
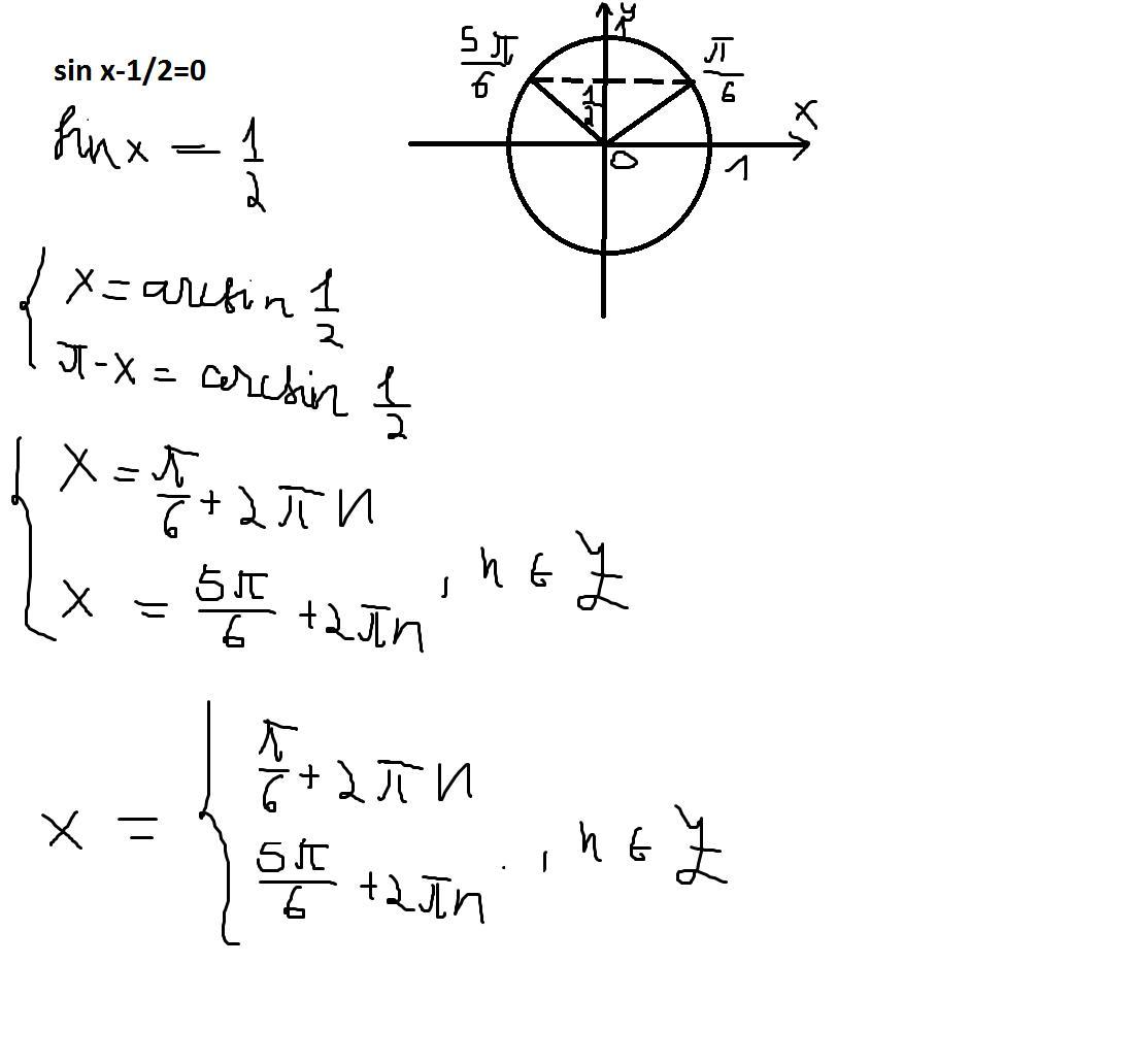
Простейшее тригонометрическое уравнение
sinx-1/2=0
sinx=1/2
x=(-1)^n*arcsin1/2+πn
x=(-1)^n*π/6+πn
Приложения:
                     
                            
                                            Ответ дал: 
                                                                                    
                                        
                                            
                                                
                                                
                                                
                                                    0
                                                
                                            
                                        
                                    
                                        Извините, мышка прыгнула, хотела 5 звезд. Очень Вам благодарна
                                    
                                        
                                        
                                
                                            Ответ дал: 
                                                                                    
                                        
                                            
                                                
                                                
                                                
                                                    0
                                                
                                            
                                        
                                    
                                        На Вашу мышку давно пора завести кошку.)))))))
                                    
                                        
                                        
                                
                                            Ответ дал: 
                                                                                    
                                        
                                            
                                                
                                                
                                                
                                                    0
                                                
                                            
                                        
                                    
                                        ахахаха
                                    
                                        
                                        
                                Вас заинтересует
                
                        2 года назад
                    
                
                        2 года назад
                    
                
                        3 года назад
                    
                
                        3 года назад
                    
                
                        8 лет назад