Ответы
Ответ дал:
0
Пошаговое объяснение:
Кубическое уравнение
Мы просто раскрываем скобки и получается 4х^3-4х=0
Решение уравнения:
4х=0
х=0
х^2-1=0
х=+-1
Ответ:0;+-1
Ответ дал:
0
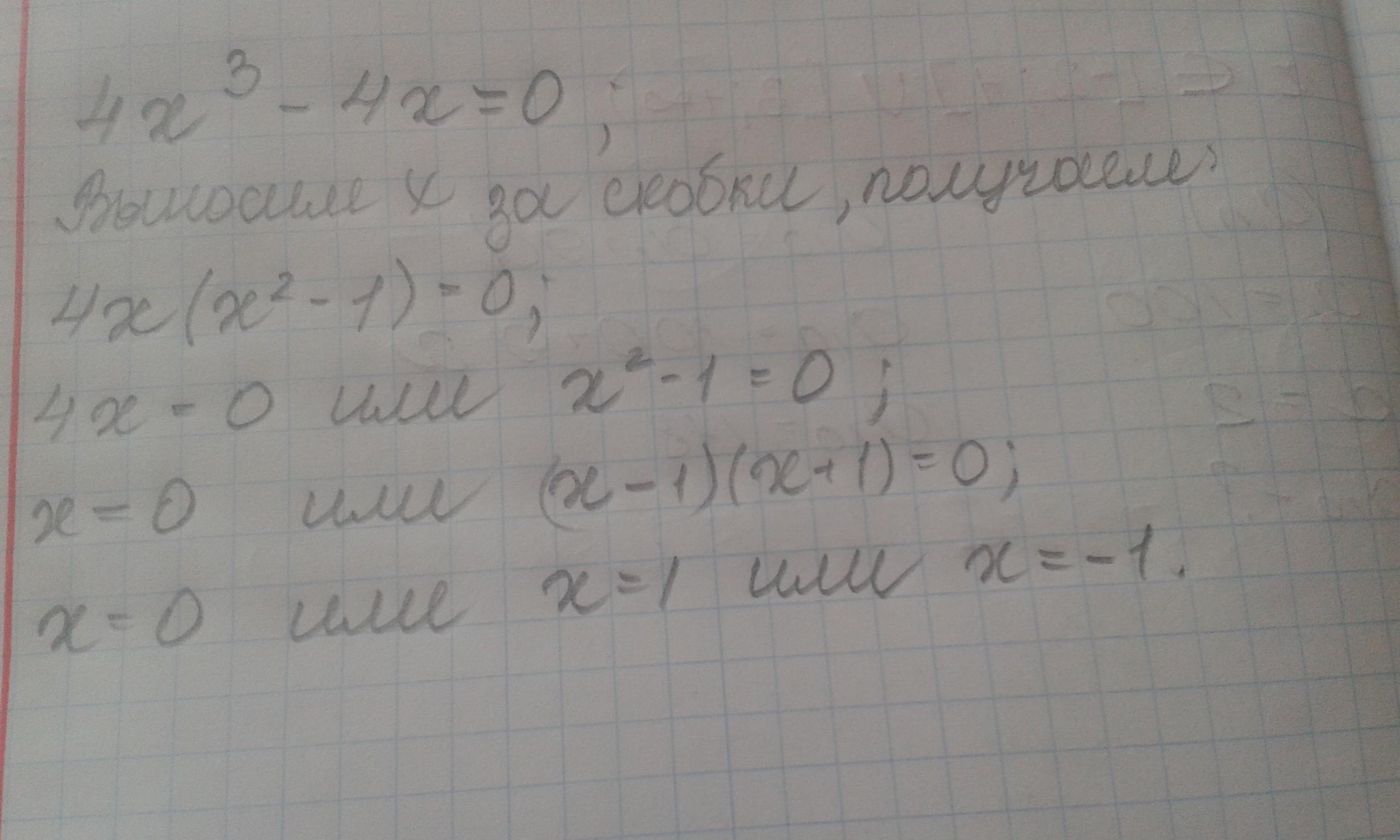
Ответ предоставлен на фото. Постаралась максимально понятно объяснить
Приложения:

Вас заинтересует
2 года назад
3 года назад
8 лет назад
8 лет назад
9 лет назад