• Предмет: Математика
  • Автор: axxxel201801
  • Вопрос задан 8 лет назад

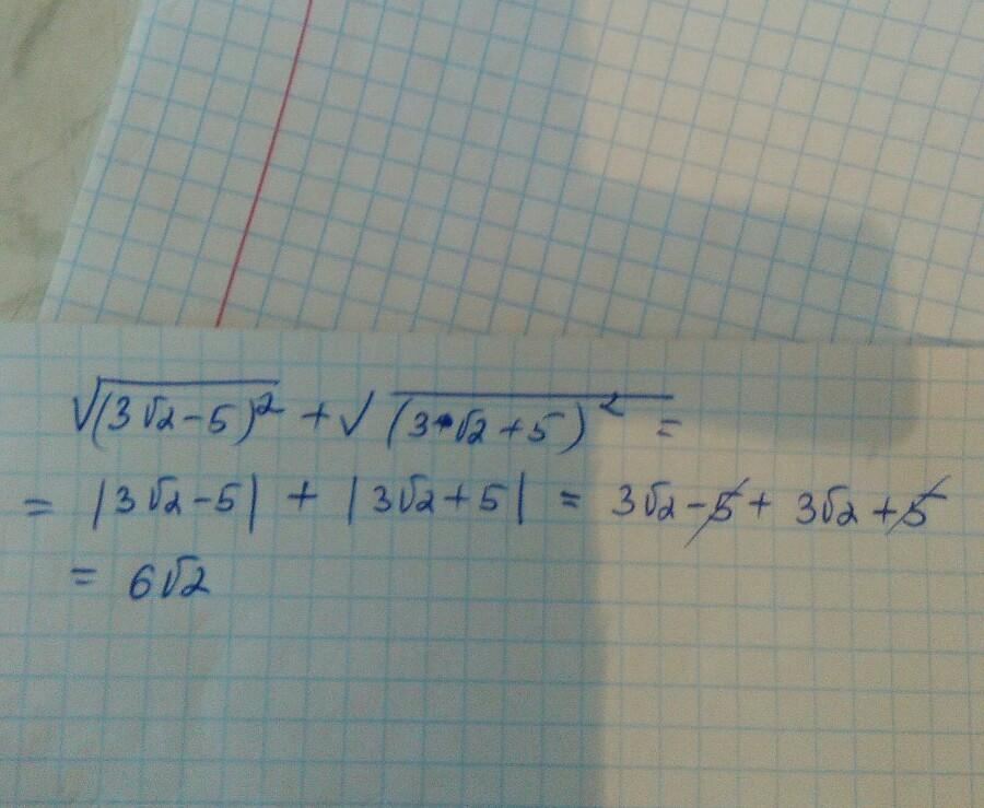
√(3√2-5)^2 +√(3√2+5)^2​

Приложения:

Ответы

Ответ дал: lilyatomach
0

Ответ:

решение представлено на фото

Приложения:
Ответ дал: bodan741
0

√(3√2-5)^2+√(3√2+5)^2 = |√18+√25|+|√18-√25| = 5+√18-√18+5=10

Приложения:
Вас заинтересует