• Предмет: Алгебра
  • Автор: nemoy99
  • Вопрос задан 8 лет назад

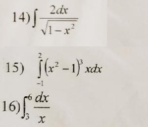
Помогите решить интегралы

Приложения:

Ответы

Ответ дал: NNNLLL54
0

14); ; int frac{2; dx}{sqrt{1-x^2}}=2cdot arcsinx+C\\\15); ; intlimits^2_{-1} , (x^2-1)^3cdot x, dx=frac{1}{2}intlimits^2_{-1}, (x^2-1)^3cdot underbrace {2x, dx}_{d(x^2-1)}=\\=frac{1}{2}cdot frac{(x^2-1)^4}{4}, Big |_{-1}^2=frac{1}{8}cdot (3^4-0)=frac{81}{8}

16); ; intlimits^6_3, frac{dx}{x}=ln|x|, Big |_3^6=ln6-ln3=lnfrac{6}{3}=ln2

Вас заинтересует