• Предмет: Математика
  • Автор: mirna50
  • Вопрос задан 8 лет назад

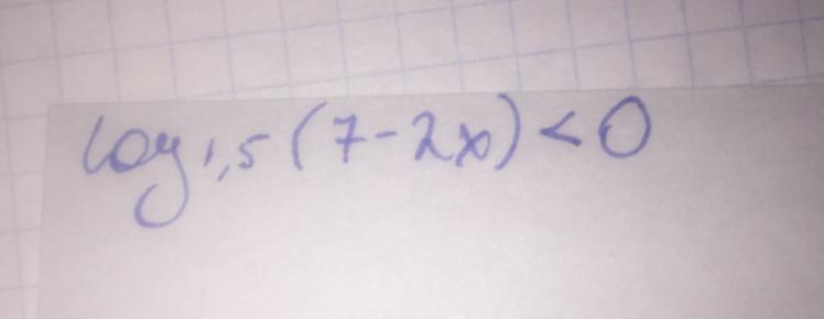
log1,5(7-2x)<0 . Помогите решить, пожалуйста.

Приложения:

Ответы

Ответ дал: takushnir
0

ОДЗ неравенства 7-2х>0, т.е. х∈(-∞;3.5)

Т.к. 1.5> 1, 0=㏒₁,₅1, то 7-2х<1; 2х>6, х>3, с учетом ОДЗ, решением неравенства будет (3;3.5)

Ответ дал: mirna50
0
А ОДЗ разве не х<3,5?
Ответ дал: mirna50
0
Просто даже если мы возьмем 4, то получится, что b отрицательно, хотя этого не должно быть
Ответ дал: takushnir
0
Вы совершенно правы. И по поводу ОДЗ, по проверке.
Вас заинтересует