• Предмет: Математика
  • Автор: arkadiysudakov00
  • Вопрос задан 8 лет назад

Помогите решить.желательно с полным расписанием решения.лучше на бумаге.

Приложения:

Ответы

Ответ дал: valenivan
0

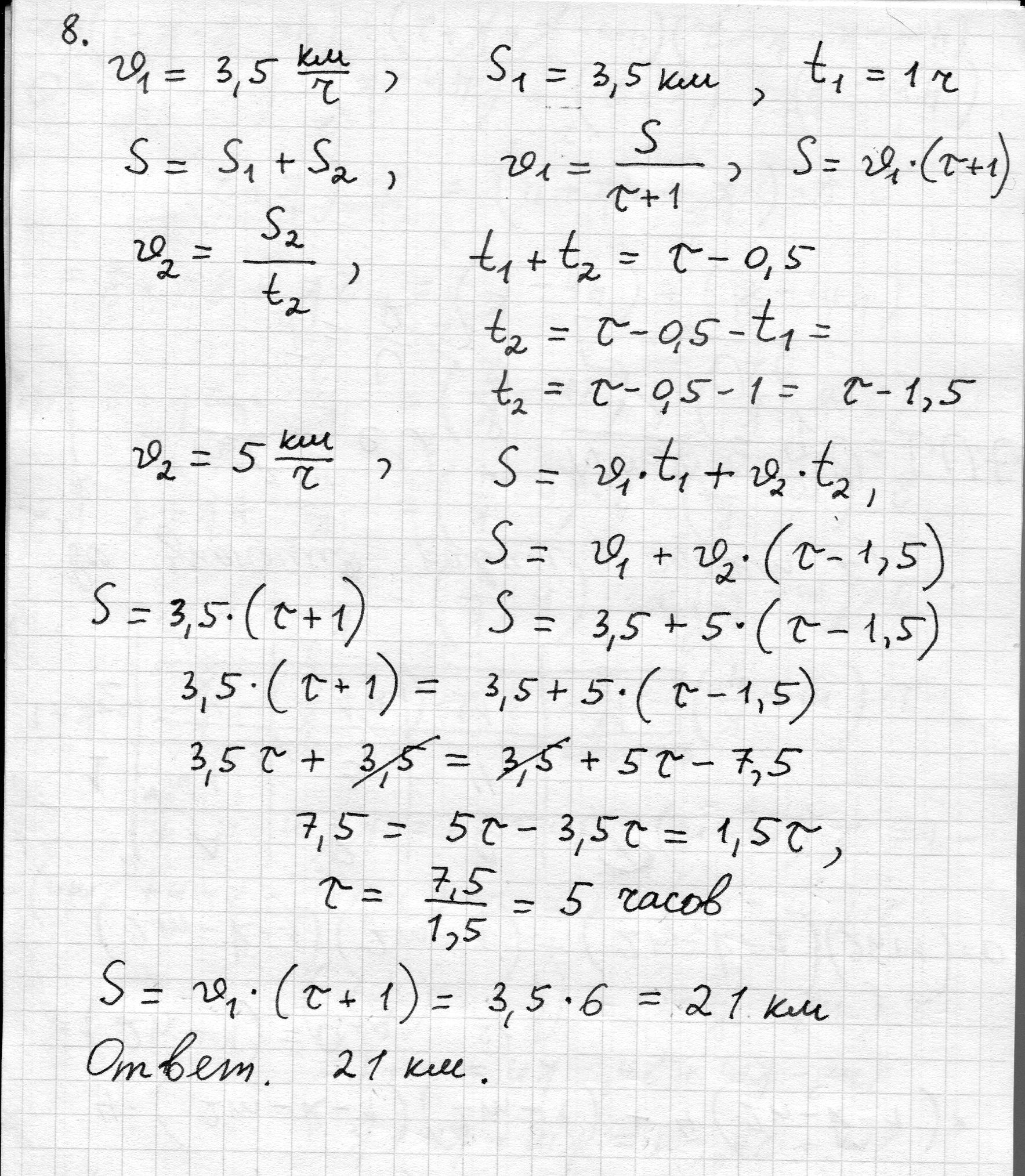
Решение задания приложено.

Приложения:
Ответ дал: arkadiysudakov00
0
"Спасибо за пояснение"
Ответ дал: valenivan
0
Знаете, я очень занятый человек. И захожу на сайт, когда есть время.
Ответ дал: valenivan
0
Целую часть в старших классах в КР, домашних можно не выделять. Но если выделить, будет хорошо, даже супер. Это зависит от вашего учителя, как он к этому отнесётся. В тестах можно увидеть разные ответы. Товарищ, что предоставил решение записал правильно. Лучше выделите целую часть, тогда будете спокойны.
Ответ дал: valenivan
0
О задаче. Она ещё имеет способы решения. Оба решения верные. Какое вам понятнее, такое и пишите. Если ничего не понятно. То какая разница, что перепишите.
Ответ дал: arkadiysudakov00
0
Хорошо,благодарю,а я вот тут задавал вопрос по дискретной математике но мне не помогают.может быть вы можете его решить?
Ответ дал: dubinushka24
0

Решение на двух прикрепленных листках ===>>

Приложения:
Ответ дал: arkadiysudakov00
0
В уравнении обязательно надо выделять целую часть? или можно в виде неправильной дроби оставить ?
Вас заинтересует