• Предмет: Алгебра
  • Автор: jimmyprice
  • Вопрос задан 8 лет назад

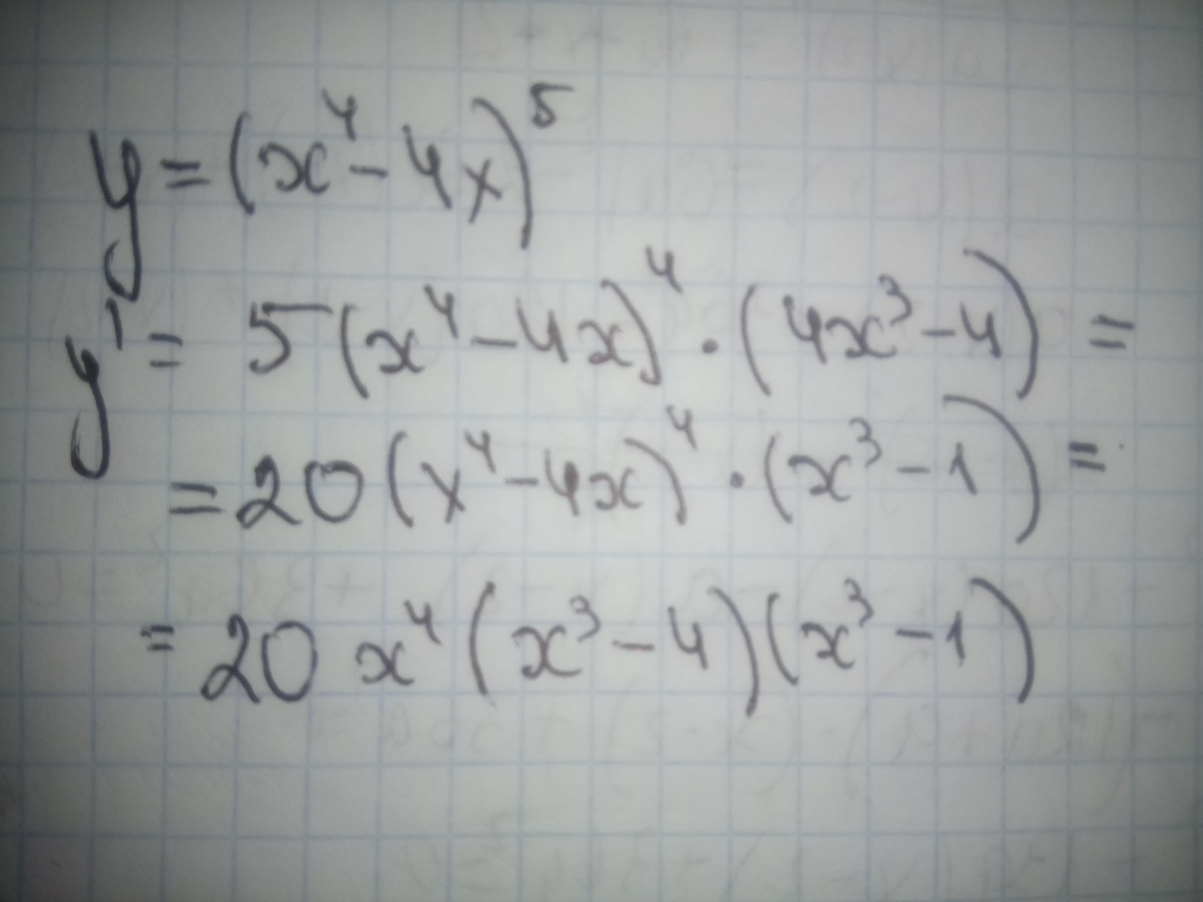
Помогите найти производную y=(x^4-4x)^5

Ответы

Ответ дал: valenivan
0

Решение задания приложено

Приложения:
Ответ дал: jimmyprice
0
Спасибо!!
Вас заинтересует