• Предмет: Математика
  • Автор: Jacksoon95
  • Вопрос задан 8 лет назад

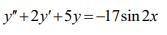
98 Баллов Здравствуйте! Помогите пожалуйста решить это уравнение. Найти общее решение линейного неоднородного уравнения второго порядка с
постоянными коэффициентами:

Приложения:

Ответы

Ответ дал: Segrif
0

y = y1 + y0

y1 = a*sin2x + b*cos2x

y1'' + 2'y1 + 5y1 = (-4a - 4b + 5a)sin2x + (-4b + 4a + 5b)cos2b = -17sin2x

a - 4b = -17, b + 4a = 0

17a = -17 -> a = -1, b = 4

y1 = 4cos2x - sin2x

y0'' + 2y0' + 5y0 = 0

k² + 2k + 5 = 0 -> k = -1 +- √(1-5) = -1 +- 2i

y0 = e^(-x)*(C*sin2x + D*cos2x)

y = 4cos2x - sin2x + e^(-x)*(C*sin2x + D*cos2x)

Ответ дал: takushnir
0

Решение читайте ниже.

Приложения:
Вас заинтересует