Помогите очень нужно,срочно физика.
1) столкнулись два одинаковых пластилиновых шарика причем векторы их скоростей непосредственно перед столкновением были взаимно перпендикулярны и вдвое отличались по модулю:V1=2V2. Какой была скорость более быстрого шарика перед абсолютно неупругим столкновением, если после него величина скорости шариков стала равной 1,5 м/с?
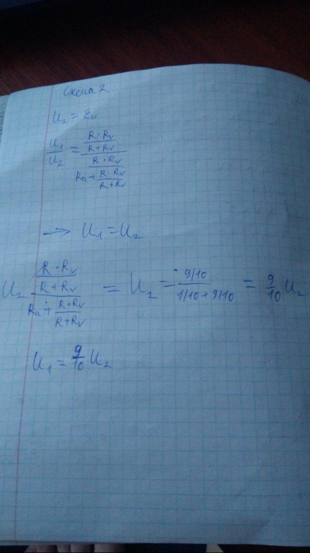
2)одни и те же элементы соединены в электрическую цепь сначала по схеме 1 затем по схеме 2 сопротивление резистора равно r сопротивление амперметра 1/10R, сопротивление вольтметра 9R.каковы показания вольтметра в схеме если на 2 семьи они равны U2. Внутренним сопротивлением источника и сопротивление проводников пренебречь.(Рисунок выше.)
Приложения:

Ответы
Ответ дал:
0
Ответ:
1) v1=2,7 м/c
2) U1=9/1U2
Объяснение:
Приложения:


Ответ дал:
0
не понял немного,зачем мы делим на 5V
Ответ дал:
0
и от куда у нас появляется 16?
Вас заинтересует
2 года назад
2 года назад
3 года назад
3 года назад
8 лет назад
8 лет назад
9 лет назад