Ответы
Ответ дал:
0
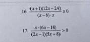
решение смотри на фото:)
Приложения:

Вас заинтересует
2 года назад
2 года назад
3 года назад
3 года назад
8 лет назад
8 лет назад
9 лет назад