Ответы
Ответ дал:
0
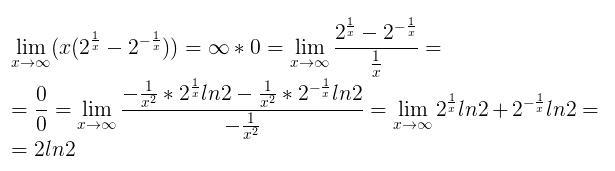
Решение в приложении:
Приложения:

Ответ дал:
0
Можете, пожалуйста, объяснить откуда взялись 2 логарифма и куда делось 1x из знаменателя?
Ответ дал:
0
неопределенность 0 на беск. заменяем на 0/0 а ее раскрываем с помощью Лопиталя
Вас заинтересует
2 года назад
2 года назад
3 года назад
3 года назад
8 лет назад
9 лет назад