Ответы
Ответ дал:
0
Ответ:
А)
Б)
Объяснение:
Решение представлено на фото
Приложения:

Ответ дал:
0
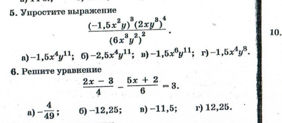
В 6) ответ не а). Верный ответ б) - 49/4 =-12,25, а не - 4/49. Чтобы найти неизвестный множитель необходимо произведение поделить на известный множитель.
Ответ дал:
0
да верно. не заметил, делал в темноте с фонариком) не удобно было, вот и сделал ошибку) спасибо
Ответ дал:
0
Вам должны направить на исправление, тогда исправите. Бывает.
Ответ дал:
0
хорошо) спасибо ещё раз)
Ответ дал:
0
Решение задания приложено
Приложения:

Вас заинтересует
2 года назад
2 года назад
3 года назад
3 года назад
8 лет назад
9 лет назад