• Предмет: Алгебра
  • Автор: DaVeEd
  • Вопрос задан 8 лет назад

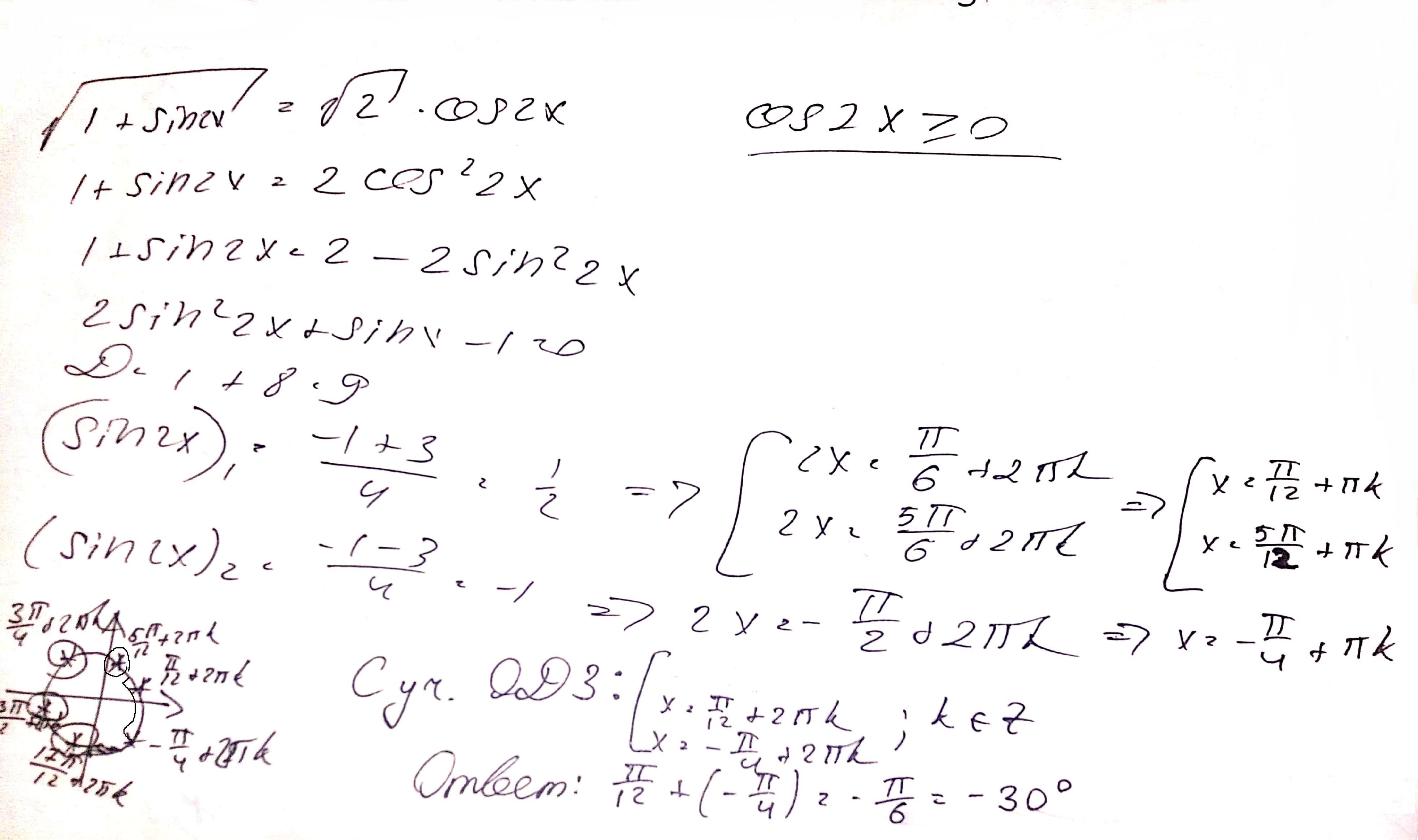
Найти в (градусах) сумму наибольшего отрицательного и наименьшего положительного корней уравнения √(1+sin2x)=√2*cos2x
1) -75
2) 45
3) -10
4) -60
5) -30

Ответы

Ответ дал: NeZeRAvix
0

Решение в скане.

Ответ: -30°

Приложения:
Вас заинтересует