• Предмет: Математика
  • Автор: Pola875
  • Вопрос задан 8 лет назад

Решите уравнения!!!!! Срочно!!!!
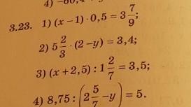
Номер 3.23
2,4 уравнение

Приложения:

Ответы

Ответ дал: Blank88
0

Решение представлено на фото.

Ответ: 2) 1 frac{2}{5}

4)  frac{27}{28}

Приложения:
Ответ дал: Evgenia4836
0

2) 17(2-y)/3= 34/10

2-y= 3*2/10

2-y= 3/5

10-5y=3

7=5y

y= 1,4

4) 8,75:5= 19/7-y

1,75=19/7-y

12,25=19-7y

7y=6,75

y= 675/100:7

y= 27/4:7= 27/4*1/7= 27/28

Приложения:
Вас заинтересует