• Предмет: Математика
  • Автор: dimamedvedev1997
  • Вопрос задан 8 лет назад

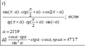
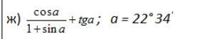
Помогите с решением примеров!!! (Нужны все 3 и если не сложно, то с фото)

Приложения:

Ответа на этот вопрос пока нет. Попробуйте найти его через форму поиска.

Вас заинтересует