• Предмет: Математика
  • Автор: mell23
  • Вопрос задан 2 года назад

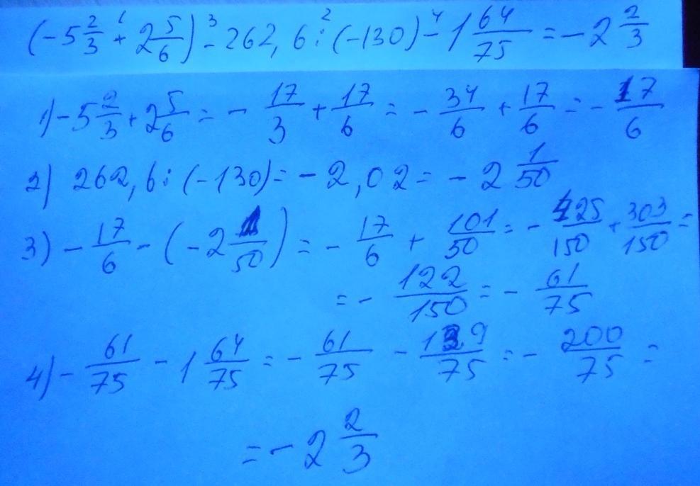
ПОМОГИТЕ РЕШИТЬ ПРИМЕР ПО ДЕЙСТВИЯМ!!!!! ЗАРАНЕЕ СПАСИБО)​

Приложения:

Ответы

Ответ дал: miron2077
1

!!!!!!!!!!!!!!!!!!!!!!!!!!!!!!!!!1

Приложения:

mell23: здравствуйте. я знаю, что ваш ответ правельный, но вы можете мне обьяснить, как у вас получилось первое действие? просто я не понемаю.
miron2077: сделал из смешанных чисел неправильные дроби и привел к общему знаменателю
mell23: спасибо
miron2077: пожалуйста
Вас заинтересует