• Предмет: Геометрия
  • Автор: llkk2003
  • Вопрос задан 2 года назад

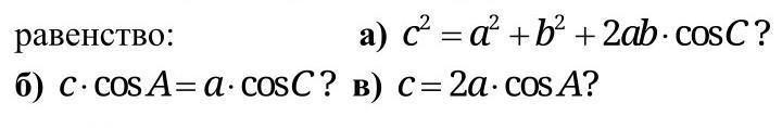
Существует ли треугольник для которого справедливо равенство

Приложения:

Ответы

Ответ дал: Аноним
1

а) Возьмем угол С прямой. Получим теорему Пифагора, косинус прямого угла равен нулю. а=3, в=4, с=5.

Можно взять угол С тупой, тогда срабатывает теорема косинусов, при условии выполнения неравенства треугольников такой треугольник будет существовать.

Ответ Существует.

б) Отношение а к с равно отношению косинуса А к косинусу С. Возьмем, например, угол А и угол С по 45°, а угол В прямой. Тогда при выполнении неравенства треугольников такой треугольник прямоугольный равнобедренный существует.

в) Если угол В прямой, а угол А равен 30°,

сторона с =а√3, в=2а

Ответ Существует

Вас заинтересует