• Предмет: Математика
  • Автор: bonu05
  • Вопрос задан 2 года назад

(x² + 6x)²≤49 сколько целых решений имеет неравенство?​

Ответы

Ответ дал: natalka123456789
2

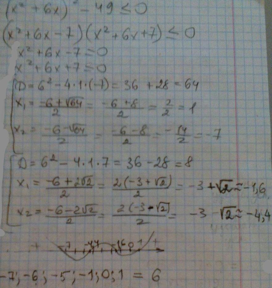
(x² + 6x)²≤49

(x² + 6x)²-49≤0

(x² + 6x)²-7²≤0 разность квадратов...дальше - на фото

Ответ: 6 целых чисел являются решением данного неравенства

Приложения:
Ответ дал: matilda17562
1

Ответ:

6 целых решений.

Пошаговое объяснение:

(x² + 6x)²≤49

(x² + 6x)² - 49 ≤ 0

(x²+6x -7)(x²+6x +7)≤0

Разложим на множители каждый из трёхчленов:

x² + 6x - 7 = (х + 7)(х - 1)

D = 36 + 28 = 64

x1 = -7

x2 = 1

x² + 6x + 7 = (х + 3 -√2)(х + 3 + √2)

D = 36 - 28 = 8

x1 = (-6 +2√2):2 = -3+√2,

x2 = (-6 -2√2):2 = -3-√2.

Получим

(х+7)(х-1)(х+3-√2)(х+3+√2) ≤0

Отмечаем на числовой прямой найденные корни трёхчленов, решаем неравенство методом интервалов.

+[-7]-[-3-√2]+[-3+√2]-[1]+>

х∈[-7; -3-√2]∪[-3+√2;1]

-7; -6; -5; -1; 0; 1 - целые решения неравенства.

Вас заинтересует