• Предмет: Алгебра
  • Автор: nastenkakrupkoq
  • Вопрос задан 2 года назад

Алгебра. Помогите пожалуйста

Приложения:

Ответы

Ответ дал: antonafanasev
1

Ответ:

4

Объяснение:

В приложении

Приложения:
Ответ дал: artalex74
0

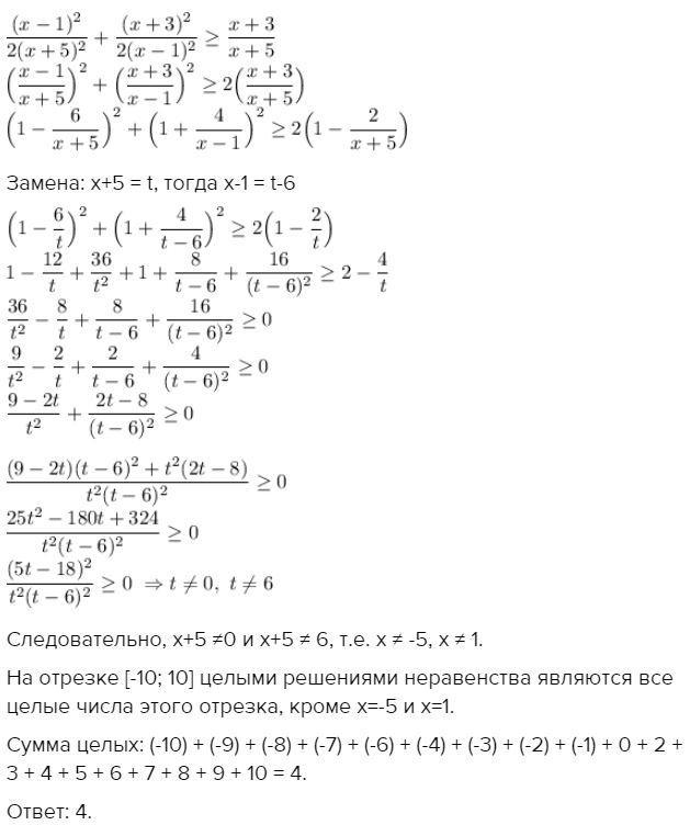
\dfrac{(x-1)^2}{2(x+5)^2} +\dfrac{(x+3)^2}{2(x-1)^2} \geq \dfrac{x+3}{x+5}\\ \Big(\dfrac{x-1}{x+5}\Big)^2 +\Big(\dfrac{x+3}{x-1}\Big)^2 \geq 2\Big(\dfrac{x+3}{x+5}} \Big)\\ \Big(1-\dfrac{6}{x+5}\Big)^2 +\Big(1+\dfrac{4}{x-1}\Big)^2 \geq 2\Big(1-\dfrac{2}{x+5}} \Big)

Замена: х+5 = t, тогда x-1 = t-6

\Big(1-\dfrac{6}{t}\Big)^2 +\Big(1+\dfrac{4}{t-6}\Big)^2 \geq 2\Big(1-\dfrac{2}{t}} \Big)\\ 1-\dfrac{12}{t}+\dfrac{36}{t^2}+1+\dfrac{8}{t-6}+\dfrac{16}{(t-6)^2} \geq 2-\dfrac{4}{t}}\\ \dfrac{36}{t^2}-\dfrac{8}{t}+\dfrac{8}{t-6}+\dfrac{16}{(t-6)^2} \geq 0\\ \dfrac{9}{t^2}-\dfrac{2}{t}+\dfrac{2}{t-6}+\dfrac{4}{(t-6)^2} \geq 0\\ \dfrac{9-2t}{t^2}+\dfrac{2t-8}{(t-6)^2}\geq 0

\dfrac{(9-2t)(t-6)^2+t^2(2t-8)}{t^2(t-6)^2}\geq 0\\ \dfrac{25t^2-180t+324}{t^2(t-6)^2}\geq 0\\ \dfrac{(5t-18)^2}{t^2(t-6)^2}\geq 0\ \Rightarrow t\neq 0,\ t\neq 6

Следовательно, х+5 ≠0 и х+5 ≠ 6, т.е. х ≠ -5, х ≠ 1.

На отрезке [-10; 10] целыми решениями неравенства являются все целые числа этого отрезка, кроме х=-5 и х=1.

Сумма целых: (-10) + (-9) + (-8) + (-7) + (-6) + (-4) + (-3) + (-2) + (-1) + 0 + 2 + 3 + 4 + 5 + 6 + 7 + 8 + 9 + 10 = 4.

Ответ: 4.

Приложения:
Вас заинтересует