• Предмет: Математика
  • Автор: mishchishinavika
  • Вопрос задан 2 года назад

решите пожайлуста срочно нужно

Приложения:

Ответы

Ответ дал: luchifer3
2

Ответ:

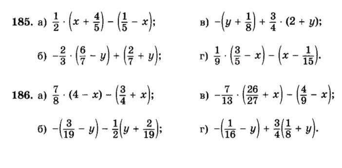
185.

  • а) 2/15
  • б) 6/35
  • в) -11/8
  • г) -3/25

186.

  • а) 22/15
  • б) 8/19
  • в) 169/81
  • г) 1/56

Пошаговое объяснение:

185

  • а) 1/2х+1/2×4/5-1/5+х=0; 0,5х+0,4-0,2+х=0; 1,5х+0,2=0; 1,5х=0,2; х=0,2:1,5; х=2/15
  • б) -2/3×6/7+2/3у+2/7+у=0; -4/7+2/3у+2/7+у=0; 5/3у-2/7=0; 5/3у=2/7; у=2/7:5/3; у=6/35
  • в) -у-1/8+3/2+3/4у=0; 1/4у+11/8=0; 1/4у=-11/8; у=-11/8:1/4; у=-5/5
  • г) 1/15-1/9х-х+1/15=0; -10/9х+2/15=0; -10/9х=-2/15; х=-2/15:10/9; х=3/25

186

  • а) 7/2-7/8х-3/4-х=0; -15/8х=-11/4; х=22/15
  • б) -3/19+у-1/2у-1/19=0; 1/2у-4/19=0; 1/2у=4/19; у=8/19
  • в) -14/27-7/13х-4/9+х=0; 6/13х-26/27=0; 6/13х=26/27; х=169/81
  • г) -1/16+у+3/32+3/4у=0; 7/4у+1/32=0; 7/4у=-1/31; у= 1/56
Вас заинтересует